HILL PARIS
With its atypical course, the Paris 2024 Marathon was not expected to produce particularly fast times. While most athletes had qualified throughout the year with times under 2:26.50 for women and 2:08.10 for men, usually on flat courses, the hilly terrain of Paris proved a real challenge.
The qualification process for the French team, for example, felt like a soap opera — fierce competition, injuries, lack of fitness, failed anti-doping tests — with the situation evolving up until a few hours before the race. Like many other nations, France focused on times achieved in flat marathons. It would have been interesting to include a qualifying race that favors more powerful runners, such as Marseille-Cassis or Marjevols-Mende.
However, thanks to their tailor-made preparation, most of the athletes lined up with one goal in mind: to win the Olympic title. With no clear frontrunner, the race was more open than ever. Rather than a sheer display of speed, we were to expect a race marked by individual attacks and head-to-head duels.
Long Easy Run? Not a Chance!
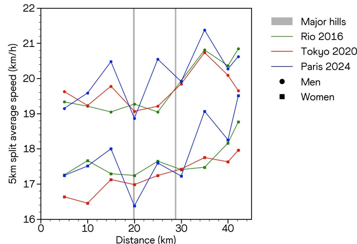
Neither August 10th nor 11th resembled a relaxed, team-spirited Sunday morning long run. In both the men’s and women’s events, the first 15 kilometers were covered in a tight pack as they were in the last two Olympic editions. The men’s leading group clocked 46’02, the fastest first section compared to Rio (46’53) and Tokyo (46’03), both led by Eliud Kipchoge, who once again was part of the lead pack in Paris 2024.
It is noteworthy that, while the women’s race also saw the fastest first 15 kilometers at 51’12, which was close to Rio’s time (51’43), the Tokyo race was much slower at 53’47.
At this point in the men’s race, Eyob Faniel of Italy took the lead, but most of the group maintained their pace, mindful of the first hill approaching at the 19th kilometer. The race dynamics shifted, for both the men’s and women’s events, just before the 15th kilometer, with a slight acceleration occurring just ahead of the climb.

Figure: Evolution of the average speed of the lead group of both men and women races over every 5 kilometers split showing how the race dynamics were influenced by the hills (depicted in grey). This allows a good comparison between men’s and women’s race strategies.
The split at the “Côtes des Gardes” was not noticeably slower than in previous Olympic marathons, showing that the lead athletes were well prepared and managed the first 28 kilometers effectively. This is further confirmed by the 35-40 km split, where both races saw an acceleration, showing the athletes' ability to handle challenging downhill sections.
Both in Rio and Tokyo, Eliud Kipchoge secured his title with a smooth acceleration after the 35th kilometer, finishing over a minute ahead of the runner-up.
Women’s events, however, tend to be more closely contested, with the biggest gap between gold and silver at the Tokyo games being just 16 seconds.
A Two-split Performance
Predictably, with much of the course being uphill, the 15-20 km split was the slowest. Clearly, the athletes were managing the elevation to save energy for the second half of the race.
With the first half-marathon completed in 1:13.22 for the women and 1:04.51for the men, these races were clearly strategic. Given the descending profile of the second half, the final stretch was bound to be intense.

Figure: Distribution of positive and negative splits in the last three Olympics. Paris 2024 shows a clear increase in negative splits for both men’s and women’s races, reflecting the course profile.
In previous events, most athletes had run positive splits, but the Paris 2024 Marathon seemed to break that trend, especially in the men’s race. The proportion of women achieving negative splits was similar to Tokyo, but the leading pack in Paris was already 2’35 ahead by the 15th kilometer, giving them more room to accelerate later on. Women usually prefer cautious races with negative splits, but Paris showed a different pattern.
When looking at the graph, it’s important to distinguish between the leaders and the peloton. The Olympic champion almost always runs a fairly clear negative split, while the peloton, trying to keep up with the initial pace, inevitably falls behind.
This was actually the key part of the French team’s strategy: start conservatively and overtake those who set off too fast.
As demonstrated in Tokyo, a conservative strategy can work wonders. But the real question is: how slow should you go? We used our algorithmic models to create physiological profiles for the runners. By tailoring pacing plans to match these profiles, we ensured they could push right to the red line without ever crossing it.

Conservative start of N. Navarro. His ranking at each aid station.
Figure: Evolution of the pace of some athletes at the Tokyo 2020 Olympics, illustrating different pacing strategies. The numbers in red show rank changes at each aid station. It highlights how a conservative start allowed athletes to pass many competitors in the second half of the race.
When the Record Was Broken
With the world’s best marathon runners gathered in a tight group, giving nothing away, the “Côtes des Gardes” loomed at the 28th kilometer. It was at this moment that Tamirat Tola chose to make his move, outpacing all competitors with a powerful ascent and maintaining the pace downhill. Bashir Abdi and Benson Kipruto trailed a few hundred meters behind over the final 12 kilometers. In the end, Tola claimed the title, finishing more than 2 minutes and 10 seconds faster than Eliud Kipchoge’s winning times in Rio and Tokyo. He set a new Olympic record, 6 seconds faster than the previous mark set by Kenyan Samuel Wanjiru at the challenging 2008 Beijing Olympics (2:06.32), held in tough climate conditions.
The women’s race, on the other hand, was more strategic, with the pace quickening after the 30km mark during the downhill section. A strong leading group emerged, reflecting the high level of competition at this year’s Olympics. With four athletes still in contention at the 1-kilometer mark, it was Sifan Hassan’s sprint in the final meters that decided the outcome. With a time of 2:22.55, she set a new Olympic record, erasing Tiki Gelana’s mark from the record books by 12 seconds, a record that had stood since London 2012.
The dynamics of the men’s and women’s races were quite different: the men launched their decisive attacks between kilometers 30 and 35, while the women, who are usually more strategic in such races, waited until the final kilometers to make their move.
Overall Performance of The Elite Peloton


Figures: Distribution of men and women season bests (SBs) and finish times, illustrating how the race configuration (profile, strategy…) influenced the performance. The red lines indicate qualifying standards, showing that most athletes were close to these times.
Interestingly, both men’s and women’s season bests (SBs) were quite close to their respective qualifying standards, with median times of 2:25.00 for the women and 2:07.49 for the men. This reflects the athletes' current form, rather than their personal bests (PBs), highlighting the exceptionally high level of competition in the marathon event.
For the men, the median finish time was 2 hours and 12 minutes — about 4 minutes slower than the median qualifying time. For instance, Tola entered the race with a time of 2:03.39, similar to Abdi’s, but finished about 3 minutes slower. Kipruto, who finished third in 2:07.00, was 4 minutes off his PB, which he set just a few months earlier when he won the Tokyo 2024 Marathon.
A similar pattern was seen for the women, with a median finish time of 2 hours and 32 minutes—7 minutes slower than their qualifying times. This is consistent with the more conservative strategy and the close, down-to-the-wire nature of the race.
Overall, the finishing times were very spread out, revealing significant disparities. This can be attributed to the fact that many athletes were invited or selected by their national federations, rather than having met the qualifying standards. In addition, not all had the same resources or conditions to prepare for such a demanding event.
What About the Amateur Race “Marathon Pour Tous”?
In line with the slogan “Games Wide Open”, the Marathon Pour Tous (MPT) event was held on the evening of 10 August between the two Olympic marathons, bringing together 20,024 recreational runners coming from all over the world! For many, it was a once-in-a-lifetime opportunity, a unique source of motivation to run. With the first finisher crossing the line in 2:24.43 and the last one in just over 6h50, the event was an unprecedented popular sporting event in the heart of Paris.

Figure: Distribution of finish times of the Marathon Pour Tous (MPT) event, compared to the one of worldwide marathon over the past 50 years.
In contrast to the elite athletes, 3 out of 4 participants ran positive splits, despite being aware of the difficult course profile. Only 20% of them focused on the pace, while the others came mainly to enjoy the event and run with relatives.
Compared to the distribution of marathon finishing times studied between 1970 and 2013, represented by the black curve [1] (mainly from the 2000s, covering more than 6,800 marathons), the same trend can be seen for finishing times under 4 hours. The median finishing time was estimated at 4h30min, which is also the case for the MPT Paris 2024. Most of the differences appear in the longer finishing times, reflecting the popularity of the event and the organizers’ intention to make it as inclusive as possible. To achieve this, participation was granted through various events, unlike some international marathons that limit entry through qualifying times or entry ballots.
Overall, the difficulty level of the Paris 2024 Marathon Pour Tous is comparable to most major marathons from an amateur point of view. The strong enthusiasm of the participants allowed amateur runners to take on this beautiful challenge.
Initially expected to be a real challenge for athletes and amateurs alike, the Paris 2024 Olympic Marathon was a unique course encouraging high performance. While not a flat or fast race, it pushed athletes to adapt their training and strategies to overcome the challenges of the course, resulting in intense race dynamics. Combined with the incredible support and motivation of the MPT runners and supporters, this course will go down in Olympic history as the site of double Olympic records, and the first time that both amateur and elite athletes shared the same course and experienced the unique sensation of running a marathon together.
[1] Allen, Eric & Dechow, Patricia & Pope, Devin & Wu, George. (2016). Reference-Dependent Preferences: Evidence from Marathon Runners. Management Science. 63. 10.1287/mnsc.2015.2417
[2] Dataset graciously provided by https://marathonview.net
Anthony Saliou and Joseph Mestrallet for Enduraw



